交錯動畫
交錯動畫是一個簡單的概念:視覺變化以一系列操作發生,而不是一次全部發生。動畫可能是純粹的順序,一個變化接一個地發生;也可能部分或完全重疊;還可能存在間隙,期間沒有變化發生。
本指南將演示如何在 Flutter 中構建交錯動畫。
以下影片演示了 basic_staggered_animation 執行的動畫
在影片中,你將看到一個單個元件的以下動畫,它最初是一個帶有略微圓角的帶邊框的藍色方塊。該方塊按以下順序進行變化
- 淡入
- 變寬
- 向上移動時變高
- 轉換為帶邊框的圓形
- 顏色變為橙色
動畫正向執行後,會反向執行。
交錯動畫的基本結構
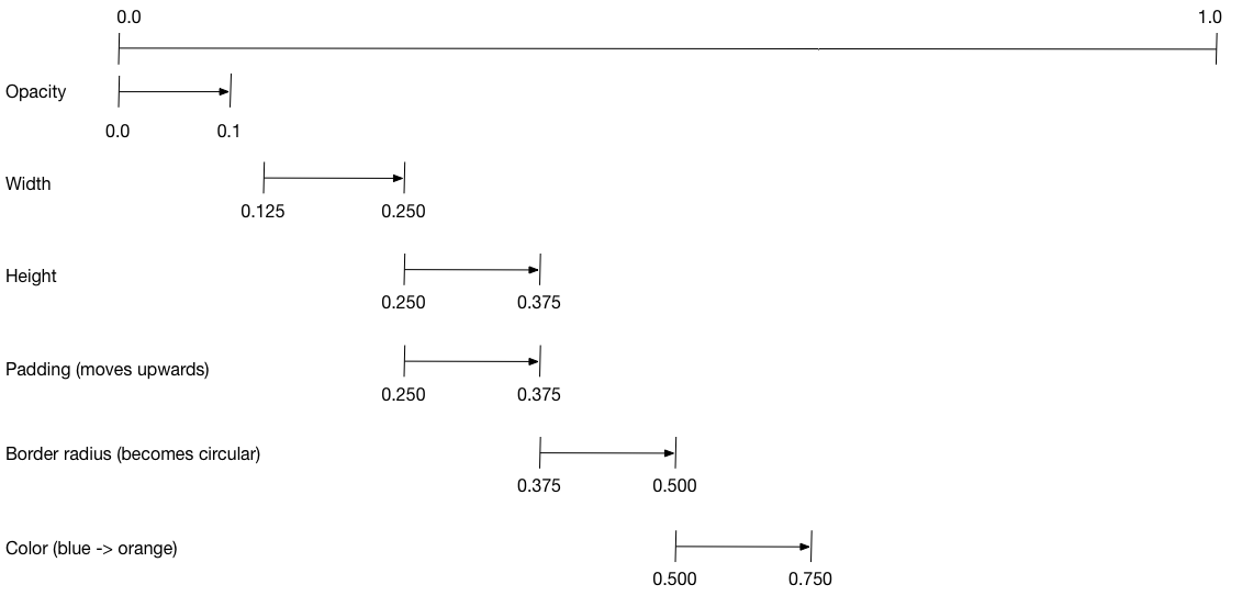
#下圖顯示了 basic_staggered_animation 示例中使用的 Interval。你可能會注意到以下特徵
- 不透明度在時間軸的前 10% 發生變化。
- 不透明度變化與寬度變化之間存在微小間隙。
- 在時間軸的最後 25% 沒有任何動畫。
- 增加內邊距使元件看起來向上升起。
- 將邊框半徑增加到 0.5,將帶圓角的方塊轉換為圓形。
- 內邊距和高度變化發生在完全相同的間隔內,但它們不必如此。

要設定動畫
- 建立一個管理所有
Animations的AnimationController。 - 為每個正在動畫的屬性建立一個
Tween。Tween定義了一個值範圍。Tween的animate方法需要parent控制器,併為該屬性生成一個Animation。
- 在
Animation的curve屬性上指定間隔。
當控制動畫的值改變時,新動畫的值也會改變,從而觸發 UI 更新。
以下程式碼為 width 屬性建立了一個補間。它構建了一個 CurvedAnimation,指定了一個緩和曲線。有關其他可用的預定義動畫曲線,請參閱 Curves。
width = Tween<double>(
begin: 50.0,
end: 150.0,
).animate(
CurvedAnimation(
parent: controller,
curve: const Interval(
0.125,
0.250,
curve: Curves.ease,
),
),
),begin 和 end 值不一定是雙精度浮點數。以下程式碼使用 BorderRadius.circular() 構建了 borderRadius 屬性(控制方塊圓角程度)的補間。
borderRadius = BorderRadiusTween(
begin: BorderRadius.circular(4),
end: BorderRadius.circular(75),
).animate(
CurvedAnimation(
parent: controller,
curve: const Interval(
0.375,
0.500,
curve: Curves.ease,
),
),
),完整的交錯動畫
#與所有互動式元件一樣,完整的動畫由一個元件對組成:一個無狀態元件和一個有狀態元件。
無狀態元件指定 Tweens,定義 Animation 物件,並提供一個 build() 函式,負責構建元件樹的動畫部分。
有狀態元件建立控制器,播放動畫,並構建元件樹的非動畫部分。當在螢幕上檢測到點選時,動畫開始。
basic_staggered_animation 的 main.dart 完整程式碼
無狀態元件:StaggerAnimation
#在無狀態元件 StaggerAnimation 中,build() 函式例項化了一個 AnimatedBuilder——一個用於構建動畫的通用元件。AnimatedBuilder 構建一個元件,並使用 Tweens 的當前值對其進行配置。該示例建立了一個名為 _buildAnimation() 的函式(它執行實際的 UI 更新),並將其分配給其 builder 屬性。AnimatedBuilder 偵聽來自動畫控制器的通知,在值改變時將元件樹標記為髒。對於動畫的每個計時,值都會更新,從而導致呼叫 _buildAnimation()。
class StaggerAnimation extends StatelessWidget {
StaggerAnimation({super.key, required this.controller}) :
// Each animation defined here transforms its value during the subset
// of the controller's duration defined by the animation's interval.
// For example the opacity animation transforms its value during
// the first 10% of the controller's duration.
opacity = Tween<double>(
begin: 0.0,
end: 1.0,
).animate(
CurvedAnimation(
parent: controller,
curve: const Interval(
0.0,
0.100,
curve: Curves.ease,
),
),
),
// ... Other tween definitions ...
);
final AnimationController controller;
final Animation<double> opacity;
final Animation<double> width;
final Animation<double> height;
final Animation<EdgeInsets> padding;
final Animation<BorderRadius?> borderRadius;
final Animation<Color?> color;
// This function is called each time the controller "ticks" a new frame.
// When it runs, all of the animation's values will have been
// updated to reflect the controller's current value.
Widget _buildAnimation(BuildContext context, Widget? child) {
return Container(
padding: padding.value,
alignment: Alignment.bottomCenter,
child: Opacity(
opacity: opacity.value,
child: Container(
width: width.value,
height: height.value,
decoration: BoxDecoration(
color: color.value,
border: Border.all(
color: Colors.indigo[300]!,
width: 3,
),
borderRadius: borderRadius.value,
),
),
),
);
}
@override
Widget build(BuildContext context) {
return AnimatedBuilder(
builder: _buildAnimation,
animation: controller,
);
}
}有狀態元件:StaggerDemo
#有狀態元件 StaggerDemo 建立 AnimationController(所有動畫的管理者),並指定 2000 毫秒的持續時間。它播放動畫,並構建元件樹的非動畫部分。當在螢幕上檢測到點選時,動畫開始。動畫先向前執行,然後向後執行。
class StaggerDemo extends StatefulWidget {
@override
State<StaggerDemo> createState() => _StaggerDemoState();
}
class _StaggerDemoState extends State<StaggerDemo>
with TickerProviderStateMixin {
late AnimationController _controller;
@override
void initState() {
super.initState();
_controller = AnimationController(
duration: const Duration(milliseconds: 2000),
vsync: this,
);
}
// ...Boilerplate...
Future<void> _playAnimation() async {
try {
await _controller.forward().orCancel;
await _controller.reverse().orCancel;
} on TickerCanceled {
// The animation got canceled, probably because it was disposed of.
}
}
@override
Widget build(BuildContext context) {
timeDilation = 10.0; // 1.0 is normal animation speed.
return Scaffold(
appBar: AppBar(
title: const Text('Staggered Animation'),
),
body: GestureDetector(
behavior: HitTestBehavior.opaque,
onTap: () {
_playAnimation();
},
child: Center(
child: Container(
width: 300,
height: 300,
decoration: BoxDecoration(
color: Colors.black.withValues(alpha: 0.1),
border: Border.all(
color: Colors.black.withValues(alpha: 0.5),
),
),
child: StaggerAnimation(controller:_controller.view),
),
),
),
);
}
}